您的當前位置:首頁 > 產品知識 > 更多產品知識 > 鋼球落下時的動能
作者:紅星機器 發布時間:2017-09-22 13:45:51
鋼球對磨礦過程有一定的影響,鋼球落下沖擊礦石的能量,來自它落到終點時的動能。此動能的大小,決定于鋼球的落下高度。而磨機的轉速又決定著鋼球的落下高度,所以決定磨機轉速的方法直接和分析鋼球落下時的動能有關。由圖3-2-11可知,鋼球落下高度H的值為

![]()
因為球是自由落體,所以到達落回點B的垂直速度為
![]()
由公式(2-1)可知
![]()
球下落時的水平分速度為
![]()
因此,它們的合速度為
![]()
即:![]()
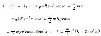
設球的質量為m,它在落回點B 的動能為
![]()
不難證明,此動能即磨機將球由落回點B提升到脫離點A所作的功(A1),和自脫離點用速度v將球拋出所作的功(A2)。因為

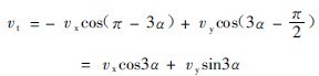
當鋼球以速度vp到達落回點時,它的動能分解為兩部分:一部分沿打擊線OB(通過物體的打擊接觸點,并垂直于接觸面的直線)沖擊礦石;另一部分與打擊線垂直,使鋼球沿切線方向運動,這部分使礦石受磨剝而沒有沖擊作用。如果把vp分解為沿打擊線的徑向分速度vn和沿切向分速度v1,求出這兩個分速度,就可以知道沖擊礦石的能量和磨剝礦石的能量各占若干。
將速度vp的水平分速度vx,和垂直分速vy投到徑向分速度vn的方向上,則

將此式展開及化簡后,整理成
![]()
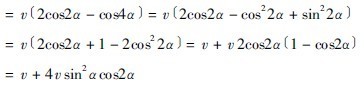
將vx和vy投到切線分速度v1的方向上,則

照上式的方法,將vx和vy代入,經化簡和整理后,得到
![]()
切向分速度v1和法向分速度vn,在不同的落回點的方向和大小都是不同的,如圖3-2-12所表示的。從圖中可以看出,磨機轉速越大,同一層球上升越高,脫離角越小。當脫離角為
時,該層球的轉速率為75%,v1=0,而vn=vp,切線分速度正在改變方向,已知各落回點的vn,就可算出沖擊礦石的動能


上一篇:決定磨機轉速的方法
如果您想了解我們的產品,可以隨時撥打我公司的銷售熱線或點擊咨詢!![]()
推薦閱讀
TOP169鄂破機價格及型號參數鄂破機
TOP257鄂破機一小時能產多少噸物料鄂破機
TOP3時產1000噸石料生產線設備有哪些?多少錢?石料生產線價格
TOP4140圓錐破時產多少石子圓錐破 圓錐破碎機
TOP5小型碎沙機多少錢一臺?碎石機
TOP6一套碎石機大概需要多少錢碎石機
TOP7生產雷蒙磨粉機(雷蒙磨)的廠家磨粉機
TOP869破碎機一小時處理多少立方石子?破碎機 69顎式破碎機
TOP91060顎破型號有哪些?什么價?顎破 顎式破碎機
TOP10每小時產200噸的石子破碎機多少錢一臺?破碎機
TOP11時產500噸石子生產線配置方案_廠家報價生產線
TOP12銷量較好的雷蒙磨粉機型號有哪些雷蒙磨粉機
換一換 ![]()
想讓資深工程師為您設計生產方案?想獲取全套設備優惠報價單?請留言,專業經理即刻開始為您一對一服務?。ú挥脫男畔⑿孤叮覀儗榭蛻籼峁┬畔⒈C芊眨。?/p>
來廠考察即可獲取資深工程師為您設計方案
多機型現貨可選,簽訂合同,2天內發出
售后團隊親臨現場,指導設備安裝、試車,完成交付
跟蹤砂場運營情況,提供生產運營指導,保障砂場快速盈利
河南紅星礦山機器有限公司 總部地址:鄭州市高新區梧桐街與紅松路交叉口中國高端礦機生產出口基地園區
工程師免費設計方案已有162位獲得心儀的方案
算一算 搭配一條合適的生產線需要多少錢?
點擊獲取報價